
(高纲1513)江苏省高等教育自学考试大纲
30586 机械优化设计
南京理工大学编
江苏省高等教育自学考试委员会办公室
Ⅰ 课程性质与课程目标
一、课程性质和特点
《机械优化设计》是高等工科院校中机械设计制造及其自动化专业现代设计方法模块的一门选修课程,它综合运用先修课程所学到的数学、计算机编程和机械等方面知识与理论,来解决机械工程领域内有关机构、机械零部件、机械结构及机械系统的优化设计问题及机械工程领域的其他优化问题。通过课程的学习可以培养学生运用现代设计理论与方法来更好地解决机械工程设计问题的能力。为进一步深入学习现代机械设计的理论与方法及更好地从事机械工程方面的设计、制造和管理等相关工作打下良好的基础。本课程的特点是数学基础理论与计算机编程语言与机械设计专业知识高度结合的综合课程。
二、课程目标
本门课程通过授课、练习和上机实践等教学环节,使学生树立机械优化设计的基本思想,了解机械优化设计的基本概念,初步掌握建立优化数学模型的基本方法和要求,了解和掌握一维搜索、无约束优化和约束优化中的一些基本算法及各种基本优化方法的特点和相关优化参数的选用原则,具有一定的编制和使用优化软件工具的能力,并具备一定的将机械工程问题转化为最优化问题并求解的应用能力。
三、与相关课程的联系与区别
本课程教学需要的先修课程:高等数学、理论力学、材料力学、机械原理、机械设计、机械制造装备设计、计算机编程语言。
本门课程要利用高等数学中有关偏导数、函数、极值、线性代数和矩阵等知识来构建优化的方法;利用力学、机械设计和机械制造等方面的专业知识将工程问题转化成规范的优化设计数学模型,并利用计算机编程语言将优化方法和数学模型转化成可以执行的计算机程序,从而得到优化问题的解。因此,它既区别于基础的数学、力学课程和计算机编程语言课,又不同于机械设计和机械制造等机械专业课程,是利用数学方法和编程语言来解决机械工程设计问题的综合性课程。需要培养学生综合应用各选修课程知识解决工程设计问题的能力。
四、课程的重点和难点
本课程的重点内容:机械优化设计的基本概念、一维搜索优化方法、基本的无约束优化方法和约束优化方法。
本课程的次重点内容:机械优化数学模型建立方法和原则、优化设计的数学基础、线性规划方法、多目标和离散变量的优化方法。
本课程的的难点内容:约束优化方法、优化方法在机械工程设计中的实际应用。
Ⅱ 考核目标
本大纲在考核目标中,按照识记、领会和应用三个层次规定其应达到的能力层次要求。三个能力层次是递升的关系,后者必须建立在前者的基础上。各能力层次的含义是:
识记(Ⅰ):要求考生能够识别和记忆本课程中有关优化设计数学模型和各种基本优化方法基本概念、基本原理、算法特点、算法步骤等主要内容并能够根据考核的不同要求,做正确的表述、选择和判断。
领会(Ⅱ):要求考生能够领悟和理解本课程中有关优化问题数学建模、求解及各种基本优化方法的概念及原理的内涵及外延,理解各种优化方法的数学基础和求解步骤的确切含义,掌握每种方法的适用条件和优化参数选用原则;理解相关知识的区别和联系,做出正确的判断、解释和说明。
应用(Ⅲ):要求考生能够根据所学的方法,对简单的优化问题求解,得出正确的结论或做出正确的判断。能够针对具体、实际的工程情况发现问题,并能探究解决问题的方法,建立合理的数学模型,用所学的优化方法进行求解,并学会编程或利用现有优化软件求解优化问题。
Ⅲ 课程内容与考核要求
绪论
一、学习目的与要求
了解机械优化设计的特点、发展概况以及本课程的主要内容。
二、课程内容
传统设计和优化设计的特点和区别,机械优化设计发展概况及本课程的主要内容。
三、考核知识点与考核要求
1. 传统设计和优化设计
识记:传统设计特点,传统设计流程;
领会:优化设计特点,现代设计流程。
2. 机械优化设计发展概况
四、本章重点、难点
传统设计和优化设计的特点和区别。
第一章 优化设计概述
一、学习目的与要求
通过对人字架、连杆机构和齿轮减速器等优化设计问题建模和求解的实例说明,加强对机械优化设计的具体认识,了解优化设计的具体过程、相关概念以及优化问题的一些基本要求。
二、课程内容
通过对人字架的优化问题和连杆机构和齿轮减速器等优化数学模型建立的讨论,了解典型优化设计问题数学模型的建立方法和步骤,优化设计问题的基本概念和基本解法。
三、考核知识点与考核要求
1. 优化设计问题数学模型的建立方法和步骤
2. 优化设计问题的基本概念
识记:设计变量和设计空间、设计常量;约束条件和约束类型、约束曲面;目标函数、等值线和等值面。
领会:优化问题的数学模型;优化问题的分类。
应用:优化问题的数学模型的规范表达方式。
3.优化问题的几何解释
识记:可行域与非可行域;极值点;全局最优点与局部最优点。
领会:无约束极值点与约束极值点、起作用约束和不起作用约束。
应用:二维约束优化问题极值点所处不同位置的几何描述。
4. 优化设计问题的基本解法
识记:优化准则法;数值迭代法;搜索方向;最佳步长;几种迭代收敛准则:模准则、值准则和梯度准则。
领会:优化准则法和数值迭代法极值点的搜索过程及特点。
应用:优化准则法和数值迭代法迭代公式;收敛准则及收敛精度的选用。
四、本章重点、难点
本章重点:优化设计问题的基本概念和几何解释。
本章难点:优化设计问题数学模型的建立。
第二章 优化设计的数学基础
一、学习目的与要求
为了便于学习以后各章所列举的优化方法,有必要先对极值理论作概略介绍。本章要求掌握机械优化设计的数学基础,掌握等式约束和不等式约束优化问题的极值条件。
二、课程内容
讲述多元函数的方向导数与梯度,多元函数的泰勒展开,无约束优化问题的极值条件,凸集、凸函数与凸规划,等式约束优化问题的极值条件,不等式约束优化问题的极值条件。
三、考核知识点与考核要求
1. 多元函数的方向导数与梯度
识记:方向导数;梯度;负梯度方向。
领会:方向导数与梯度的关系;梯度方向与等值线的关系。
应用:二元和多元函数的梯度的计算。
2. 多元函数的泰勒展开
识记:函数的泰勒展开式;海赛矩阵。
领会:二元函数的泰勒展开式的矩阵形式;函数的泰勒展开式的一次形式和二次形式的意义。
应用:函数的梯度和海赛矩阵的计算,泰勒展开式的计算。
3. 无约束优化问题的极值条件
识记:极值点和拐点;函数取得极值的充分条件;海赛矩阵正定。
领会:二元和多元函数取得极值的充分条件。
应用:二元函数取得极值判定
4. 凸集、凸函数与凸规划
识记:凸集与非凸集;局部极小点和全局极小点;凸函数定义;凸规划和表达形式。
领会:凸集、凸函数和凸规划的性质。
应用:凸集与凸规划的判定;凸函数的数学表达和几何描述。
5. 等式约束优化问题的极值条件
识记:消元法(降维法)定义;拉格朗日乘子和拉格朗日乘子法定义和表达式。
领会:拉格朗日乘子法原理与算法步骤
应用:拉格朗日乘子法计算等式约束优化问题。
6. 不等式约束优化问题的极值条件
识记:一元函数在给定区间上的极值条件;库恩-塔克条件的表达式。
领会:库恩-塔克条件的几何意义。
应用:库恩-塔克条件的在约束优化问题中的实际应用。
四、本章重点、难点
本章重点:多元函数的方向导数与梯度,多元函数的泰勒展开,海赛矩阵,凸集、凸函数与凸规划、库恩-塔克条件。
本章难点:等式约束优化问题的极值条件,库恩-塔克条件。
第三章 一维搜索方法
一、学习目的与要求
一维搜索是优化搜索方法的基础,本章要求掌握用数值法求解一维搜索最佳步长因子的方法和搜索区间确定和消去的原理。
二、课程内容
搜索区间的确定与区间消元法,一维搜索的试探方法,一维搜索的插值方法。
三、考核知识点与考核要求
1.一维搜索原理
识记:一维搜索迭代公式;一维搜索最佳步长因子。
领会:一维搜索最佳步长因子数值解法原理。
2. 搜索区间的确定与区间消去法
识记:确定搜索区间的外推法原理,一维搜索区间的特征;区间消元法原理;一维搜索方法的分类。
领会:外推法和区间消去法的工作步骤。
应用:外推原则和区间消去的判定原则。
3. 一维搜索的试探方法
识记:黄金分割的特点和定义;黄金分割法的迭代公式;黄金分割法的特点。
领会:黄金分割法的迭代过程和收敛准则。
应用:用黄金分割法进行一维搜索求极值的应用。
4. 一维搜索的插值方法
识记:牛顿法(切线法)的迭代公式;二次插值法(抛物线法)的原理。
领会:牛顿法的迭代过程和几何意义;二次插值法的迭代过程。
应用:牛顿法和二次插值法在一维搜索求极值中的应用。
四、本章重点、难点
本章重点:搜索区间的确定与区间消元法原理,用黄金分割法和牛顿法求一元函数极小点。
本章难点:牛顿法,二次插值法。
第四章 无约束优化方法
一、学习目的与要求
无约束优化问题的解法是优化设计方法的基本组成部分,也是优化方法的基本。本章要求掌握共轭梯度法、鲍威尔法等经典的无约束优化方法。
二、课程内容
最速下降法,牛顿型方法,共轭方向及共轭方向法,共轭梯度法,变尺度法,坐标轮换法,鲍威尔方法,单行替换法。
三、考核知识点与考核要求
1.无约束优化方法原理
识记:无约束优化方法的迭代方向和迭代公式;无约束优化方法的分类。
领会:无约束优化方法的迭代过程。
2. 最速下降法(梯度法)
识记:最速下降法的定义;最速下降法的特点,最速下降法的搜索方向。
领会:最速下降法的搜索路径和步骤。
应用:用最速下降法求函数极值。
3. 牛顿型方法
识记:多元函数求极值的牛顿法迭代公式;牛顿方向和阻尼牛顿方向。
领会:牛顿法和阻尼牛顿法的计算过程。
应用:用牛顿法和阻尼牛顿法求函数极值。
4. 共轭方向及共轭方向法
识记:共轭方向的概念;共轭方向的性质,求共轭方向的迭代公式。
领会:共轭方向法迭代过程,格拉姆-斯密特向量系共轭化方法。
应用:会求矩阵的一组共轭向量系。
5. 共轭梯度法
识记:共轭梯度法的原理和定义;共轭梯度方向的递推公式。
领会:共轭梯度法的计算过程。
应用:编程用共轭梯度法求函数极值。
6. 变尺度法
识记:尺度矩阵的概念;变尺度矩阵的形式;拟牛顿条件。
领会:变尺度矩阵的建立方法,变尺度法的一般步骤。
应用:应用DFP变尺度法求函数极值。
7. 坐标轮换法
识记:坐标轮换法的定义;坐标轮换法的迭代公式。
领会:坐标轮换法的寻优过程。
应用:坐标轮换法的应用和搜索过程特点的几何描述。
8. 鲍威尔方法
识记:鲍威尔共轭方向的生成,鲍威尔共轭方向的特点。
领会:鲍威尔共轭方向的基本算法和改进算法的计算步骤。
应用:用鲍威尔方法求函数极值的计算。
9. 单形替换法
识记:单形替换法的基本原理;单形替换法的搜索策略。
领会:单形替换法的计算步骤。
应用:用单形替换法求二维函数极值。
四、本章重点、难点
本章重点:用最速下降法求函数极值,用牛顿法、阻尼牛顿法求函数极值,共轭方向和共轭梯度方向的产生,用共轭梯度法求函数极值,用鲍威尔方法求函数极值,坐标轮换法的应用。
本章难点:DFP算法、鲍威尔共轭方向法。
第五章 线性规划
一、学习目的与要求
约束函数与目标函数都是线性函数的优化问题称为线性规划问题,线性规划问题的理论与方法均比较成熟,本章要求了解线性规划问题的基本性质和图解方法,掌握基本可行解的转换方法,掌握单纯形方法的基本原理和计算步骤,并能应用单纯形方法方法求解简单的线性规划问题。
二、课程内容
线性规划的形式与基本性质,基本可行解的转换,单纯形方法,修正单纯形方法。
三、考核知识点与考核要求
1. 线性规划的标准形式与基本性质
识记:线性规划的标准形式;线性规划有最优解的条件和最优解的几种情况。
领会:线性规划的基本性质的图解法和代数法意义。
应用:图解法和代数法求简单线性规划问题基本解和最优解
2. 基本可行解的转换
识记:基本解;可行解;基本可行解的基本变量。
领会:基本可行解的转换方法;初始基本可行解的求法。
应用:应用基本可行解的转换方法求线性规划的一组基本可行解。
3. 单纯形方法
识记:由基本可行解求最优解的规则:θ规则;最速变化规则。
领会:θ规则和最速变化规则的基本原理;单纯形方法的计算步骤。
应用:应用单纯形方法求解简单的线性规划问题。
4. 修正单纯形法
识记:修正单纯形方法的基本原理。
领会:修正单纯形方法的基本计算步骤。
四、本章重点、难点
本章重点:线性规划的基本性质和基本可行解的图解法和代数法求解,单纯形方法求解线性规划问题。
本章难点:修正单纯形方法。
第六章 约束优化方法
一、学习目的与要求
机械优化设计中的问题,大多属于约束优化问题,本章要求掌握求解约束优化问题的若干方法,了解方法的原理和一些基本方法的应用,如:随机方向法,复合形法,惩罚函数法等。
二、课程内容
随机方向法,复合形法,可行方向法,惩罚函数法,增广乘子法,非线性规划问题的线性化解法——线性逼近法,广义简约梯度法,二次规划法。
三、考核知识点与考核要求
1. 约束优化方法的基本原理
识记:约束优化方法的迭代方向和迭代公式;约束优化方法的分类(直接法和间接法的类型)。
领会:约束优化方法之间接法的原理与特点。
2. 随机方向法
识记:随机数的产生;初始点的选择。
领会:可行搜索方向的产生,搜索步长的确定,随机方向法的计算步骤。
应用:随机方向的产生;随机方向的迭代公式;用随机方向法求约束优化问题的最优解。
3. 复合形法
识记:初始复合形的形成;复合形的形心、最好点、最坏点和次坏点求法。
领会:复合形的搜索方法:反射、扩张、收缩和压缩;复合形法的计算步骤;复合形的收敛准则。
应用:用复合形法求约束优化问题的最优解。
4. 可行方向法
识记:可行方向法的搜索策略;产生可行方向的条件:可行条件,下降条件。
领会:可行方向的产生方法;步长的确定:最优步长、试验步长的计算、试验点调整到约束面的方法;可行方向法的计算步骤。
应用:用可行方向法求约束优化问题的最优解。
5. 惩罚函数法
识记:内点惩罚函数法、外点惩罚函数法、混合惩罚函数法的定义;惩罚函数的形式;惩罚因子的取值规律;初始点的选取要求。
领会:内点惩罚函数法、外点惩罚函数法和混合惩罚函数法的原理和计算步骤;内点惩罚函数法、外点惩罚函数法、混合惩罚函数法的最优点的逼近过程和几何意义。
应用:用内点惩罚函数法、外点惩罚函数法和混合惩罚函数法计算约束优化问题的最优解。
6. 增广乘子法
识记:拉格朗日乘子法、等式约束的增广乘子法原理;增广乘子函数的形式。
领会:不等式约束的增广乘子法原理和计算步骤。
应用:用增广乘子法计算约束优化问题的最优解。
7. 非线性规划问题的线性化解法——线性逼近法
识记:序列线性规划法。
领会:割平面法,小步梯度法。
应用:非线性规划法。
8. 广义简约梯度法,二次规划法
识记:简约梯度法,二次规划法。
领会:广义简约梯度法及其迭代步骤。
应用:不等式约束函数的处理和换基问题。
四、本章重点、难点
本章重点:随机方向法、复合形法和可行方向法的原理,用惩罚函数法求解约束优化问题的最优解。
本章难点:增广乘子法、广义简约梯度法。
第七章 多目标及离散变量优化方法
一、学习目的与要求
机械优化设计中的实际工程问题,多数情况下有多个设计性能指标,另外设计变量有许多非连续分布,本章要求掌握多目标优化设计问题中目标函数的处理方法及特点,了解离散变量优化设计方法和对离散变量的处理方法,掌握主要方法的原理和一些基本方法的应用。
二、课程内容
多目标优化问题;多目标优化方法:主要目标法;统一目标法、协调曲线法、分层序列法和目标规划法;离散变量优化问题;离散变量优化方法:整型化、离散化方法,拟离散化方法,离散惩罚函数法,离散变量搜索型方法,离散变量型网格法,离散变量组合型法。
三、考核知识点与考核要求
1. 多目标优化问题
识记:多目标优化问题的数学表达;多目标优化问题的特点;劣解和非劣解(有效解);绝对最优解。
领会:多目标优化问题解的可能情况。
2. 多目标优化方法-主要目标法和统一目标法
识记:主要目标法中目标函数和约束函数的构建;线性加权法和加权系数;极大极小法目标函数的形式;理想点法和评价函数;分目标乘除法目标函数的构建;功效系数法和功效系数的形式。
领会:主要目标法和统一目标法将多目标转化为统一目标的方法原理和目标函数的形式。
应用:用主要目标法和统一目标法来构建实际多目标优化问题的目标函数或评价函数。
3. 多目标优化方法-协调曲线法
识记:协调曲线法的原理;协调曲线和满意度曲线。
领会:协调曲线的构建和几何意义:协调曲线法求多目标函数最优解的过程。
应用:协调曲线法求解两个目标的优化问题解。
4. 多目标优化方法-分层序列法
识记:可分层序列法和宽容分层序列法的原理;分层序列法目标函数处理方法。
领会:分层序列法和宽容分层序列法计算步骤和最优解的几何意义。
应用:用宽容分层序列法求解两个目标函数优化问题的最优解。
5. 多目标优化方法-目标规划法
识记:目标规划法原理;统一目标函数形式;适应度函数的构建。
领会:目标规划法计算步骤;适应度函数与目标函数的关系。
6. 离散变量优化问题
识记:离散变量优化问题特点;离散变量的形式。
领会:离散变量优化问题的数学模型。
7. 离散变量优化方法——整型化、离散化方法和拟离散化方法
识记:整型化、离散化方法和拟离散化方法的原理;离散最优点的取法。
领会:整型化、离散化方法最优点寻找的几何意义;拟离散化方法优化解搜索方法和步骤。
应用:整型化、离散化在离散优化问题中的应用。
8. 离散变量优化方法——离散惩罚函数法
识记:离散惩罚函数法的原理;离散惩罚函数项的形式;离散惩罚因子。
领会:离散惩罚函数构建和几何意义;离散惩罚函数法的计算步骤。
应用:离散惩罚函数法求解一维优化问题的几何意义。
9. 离散变量搜索型方法——离散复合型法
识记:离散复合型法的原理;离散复合型顶点的构建。
领会:离散复合型法搜索迭代过程。
10.离散变量型网格法
识记:离散变量型普通网格法和正交网格法原理。
领会:正交网格表的生成方法;正交网格法的计算步骤。
11.离散变量组合型法
识记:离散变量组合型法的原理;初始复合型顶点的形成。
领会:离散一维新点的产生方法;约束条件的处理及几何意义;离散变量组合型法的搜索步骤;离散变量组合型法收敛准则。
应用:离散惩罚函数法求解一维优化问题的几何意义。
四、本章重点、难点
本章重点:多目标优化方法中:主要目标法,统一目标法和协调曲线法;离散变量优化方法中的整型化、离散化方法和拟离散化方法,离散惩罚函数法,离散变量组合型法。
本章难点:离散惩罚函数法、离散变量型网格法。
第八章 机械优化设计实例
一、学习目的与要求
了解机械优化设计的一般过程,掌握数学模型建立的一般原则,并通过对一些工程实例的分析,了解针对不同实际工程问题时如何建立规范的优化设计数学模型,如何选择适当的优化方法等。要求能够应用所学的优化知识和机械专业知识建立实际机械工程问题的优化数学模型。
二、课程内容
机械优化设计的应用技巧,机床主轴的结构优化设计,圆柱齿轮减速器的优化设计,平面连杆机构的优化设计。
三、考核知识点与考核要求
1. 机械优化设计时的应用技巧
识记:机械优化设计的一般过程;数学模型建立的一般原则;数学模型的尺度变换。
领会:目标函数和设计变量尺度变换的意义和几何描述;约束函数规格化的方法。
应用:规范化的机械优化设计数学模型的建立和表达。
2. 机床主轴结构优化设计
识记:数学模型的建立。
领会:优化方法和有限元的结合。
应用:同类型工程问题的优化设计建模。
3. 圆柱齿轮减速器的优化设计
识记:单级圆柱齿轮减速器的优化设计。
领会:二级圆柱齿轮减速器的优化设计;2K-H型行星齿轮减速器的优化设计。
应用:同类型工程问题的优化设计建模
4. 平面连杆机构的优化设计
识记:曲柄摇杆机构再现已知运动规律的优化设计数学建模。
领会:曲柄摇杆机构再现已知运动轨迹的优化设计。
应用:同类型连杆机构优化设计建模。
四、本章重点、难点
本章重点:数学模型的尺度变换,连杆机构的优化设计,机床主轴的结构优化设计,单级圆柱齿轮减速器的优化设计。
本章难点:二级圆柱齿轮减速器和行星齿轮减速器的优化设计。
Ⅳ 关于大纲的说明与考核实施要求
一、自学考试大纲的目的和作用
课程自学考试大纲是根据专业自学考试计划的要求,结合自学考试的特点而确定。其目的是对个人自学、社会助学和课程考试命题进行指导和规定。
课程自学考试大纲明确了课程学习的内容以及深广度,规定了课程自学考试的范围和标准。因此,它是编写自学考试教材和辅导书的依据,是社会助学组织进行自学辅导的依据,是自学者学习教材、掌握课程内容知识范围和程度的依据,也是进行自学考试命题的依据。
二、课程自学考试大纲与教材的关系
课程自学考试大纲是进行学习和考核的依据,教材是学习掌握课程知识的基本内容与范围,教材的内容是大纲所规定的课程知识和内容的扩展与发挥。课程内容在教材中可以体现一定的深度或难度,但在大纲中对考核的要求一定要适当。
本大纲与教材所体现的课程内容应基本一致;大纲里面的课程内容和考核知识点,教材里一般也要有。反过来教材里有的内容,大纲里就不一定体现。(注:如果教材是推荐选用的,其中有的内容与大纲要求不一致的地方,应以大纲规定为准。)
三、关于自学教材
《机械优化设计》,哈尔滨工业大学,孙靖民、梁迎春主编,机械工业出版社,2012年版。
四、关于自学要求和自学方法的指导
本大纲的课程基本要求是依据专业考试计划和专业培养目标而确定的。课程基本要求还明确了课程的基本内容,以及对基本内容掌握的程度。基本要求中的知识点构成了课程内容的主体部分。因此,课程基本内容掌握程度、课程考核知识点是高等教育自学考试考核的主要内容。
为有效地指导个人自学和社会助学,本大纲已指明了课程的重点和难点,在章节的基本要求中一般也指明了章节内容的重点和难点。
本课程共6学分,包括理论课程学习和上机实践。
根据学习对象成人在职业余自学的情况,在本课程的学习中要注意一下几点:(1)注意掌握各种优化方法的数学基础,如偏导数、方向导数、多元函数的泰勒展开式、海赛矩阵、矩阵求逆等概念及计算,这些是各种优化方法的基础;(2)注意掌握机械优化设计的基本概念,如:设计变量、目标函数、约束条件、可行域与非可行域、等值线与等值面、全局最优和局部最优、凸规划和非凸规划、共轭方向、尺度变换等,理解这些概念就可以更好地理解优化设计的思想;(3)注意掌握各种优化方法原理与特点,如搜索方向和最优步长确定、搜索路线、算法的效率和收敛速度、算法的稳定性、计算工作量大小等,这样可以更好理解和掌握各种优化方法;(4)注意通过计算和上机练习掌握优化设计所涉及基本的数学运算和各种基本算法的迭代过程,提高自己的运算熟练程度。
五、应考指导
1. 如何学习。很好的计划和组织是你学习成功的法宝。如果你正在接受培训学习,一定要跟紧课程并完成作业,注意掌握每一章节的基本概念,重点概念和公式应该记住,并对每章的要点注意及时总结和梳理。为了在考试中作出满意的回答,你必须对所学课程内容有很好的理解,为加深对课程内容的理解,需要通过做一定量的练习来测试自己对内容的理解程度。使用“行动计划表”来监控你的学习进展,制定出每天、每周和每月的学习计划和练习计划,并根据学习效果做适时的调整。你阅读课本时可以做读书笔记,把一些重要的概念、公式、方法特点等进行记录。如有需要重点注意的内容,可以用彩笔来标注。如:红色代表重点;绿色代表需要深入研究的领域;黄色代表可以运用在工作之中等。
2. 如何考试。卷面整洁非常重要。书写工整,段落与间距合理,卷面赏心悦目有助于教师评分,教师只能为他能看懂的内容打分。回答所提出的问题。要回答所问的问题,而不是回答你自己乐意回答的问题!避免超过问题的范围
3. 如何处理紧张情绪。正确处理对失败的惧怕,要正面思考。如果可能,请教已经通过该科目考试的人,问他们一些问题。做深呼吸放松,这有助于使头脑清醒,缓解紧张情绪。考试前合理膳食,保持旺盛精力,保持冷静。
4. 如何克服心理障碍。这是一个普遍问题!如果你在考试中出现这种情况,试试下列方法:使用“线索”纸条。进入考场之前,将记忆“线索”记在纸条上,但你不能将纸条带进考场,因此当你阅读考卷时,一旦有了思路就快速记下。按自己的步调进行答卷。为每个考题或部分分配合理时间,并按此时间安排进行。
六、对社会助学的要求
对于各章的基本学时建议:绪论:1学时。第一章:课程学习 3学时;练习2学时。第二章:课程学习 4学时;练习4学时。第三章:课程学习3学时;练习3学时。第四章:课程学习 12学时;练习和上机实习8学时。第五章:课程学习 4学时;练习3学时。第六章:课程学习8学时;练习8学时。第七章:课程学习 6学时;练习3学时。第八章:课程学习 4学时;练习4学时。
对于大纲中注明的每章中的重点内容可适当多用一点时间讲解和学习,并多花一点时间讲解一些例题和做一些习题。对于大纲中标注一般的内容,主要是掌握基本概念、方法原理与特点等,在讲解和学习的时间分配上可以少一点。在学习过程中一定要注意化大概一半的时间讲解例题和做习题,以加深对学习内容的理解和对重点内容的掌握。
七、对考核内容的说明
1. 本课程要求考生学习和掌握的知识点内容都作为考核的内容。课程中各章的内容均由若干知识点组成,在自学考试中成为考核知识点。因此,课程自学考试大纲中所规定的考试内容是以分解为考核知识点的方式给出的。由于各知识点在课程中的地位、作用以及知识自身的特点不同,本大纲将各知识点分别按三个认知层次确定其考核要求,对于识记层次的内容,要求理解基本概念,掌握基本公式;对于领会层次的内容,要求理解方法的原理,掌握方法的特点和步骤;对于应用层次的内容,要求能对应用基本公式和基本方法对具体的问题进行分析和计算。
2. 课程考试分三个部分,分别为基本概念题、基本分析与计算题和综合题,在考试试卷中所占的比例大约分别为:50%、40%、10%。
八、关于考试命题的若干规定
1.考试的方法为闭卷,考试时间的长度为2.5小时。本课程考试要携带必要的工具有黑色笔、尺和圆规、计算器等。
2.本大纲各章所规定的基本要求、知识点及知识点下的知识细目,都属于考核的内容。考试命题覆盖到章,课程大纲中标注的重点章节的内容也是考试的重点。
3.命题没有超出大纲中考核知识点范围的题目,考核目标没有高于大纲中所规定的相应的最高能力层次要求的内容。命题着重考核自学者对基本概念、基本知识和基本理论是否了解或掌握,对基本方法是否会用或熟练。
4.本课程在试卷中对不同能力层次要求的分数比例大致为:识记占30%,领会占20%,简单应用占40%,综合应用占10%。
5.试题的难度可分为:易、较易、较难和难四个等级。每份试卷中不同难度试题的分数比例一般为:2:3:3:2。
必须注意试题的难易程度与能力层次有一定的联系,但二者不是等同的概念。例如在基本概念的考题中有点概念比较直接,有的概念则需要在理解的基础上才能正确回答;同样在计算分析题中,有点是基本运算,有的运算则比较复杂。考生应注意这个问题,在各种题型中都有易、较易、较难和难不同等级的题。
6.本课程考试命题的主要题型一般有单项选择题、填空题、简答题、分析计算题、作图题和综合题。
在实际命题工作中按照本课程大纲中所规定的题型命制,实际考试试卷使用的题型可能略少,但不会超出本课程对题型规定。
附录:考试题型
一、填空题
1.优化数学模型的三个基本要素是 、 和 。
答:设计变量、目标函数、约束条件。
2.一维搜索一般包括 和 两个基本步骤。
答:确定搜索区间,根据区间消去法原理不断缩小区间
二、选择题
1.下列哪种约束优化算法属于直接算法。
A.复合形法 B.惩罚函数法 C.增广乘子法答:A
2.多目标优化问题一般得到的解是( )
A.全域最优解 B.局域最优解 C.非劣解
答:C
三、简答题
1.多目标函数一般可转化为单目标函数进行处理,这类具体的方法有哪些?(至少列出4种)
答:主要目标法、线性加权法、极大极小法、理想点法、分目标乘除法、功效系数法等。
2.说明变尺度法算法特点(与梯度法和牛顿法比较)。
答:(1)同时利用了梯度法和牛顿法的优点,同时避免考虑海赛矩阵及其逆矩阵的大量计算;(2)收敛速度介于梯度法和牛顿法之间,具有超越线性收敛速度;(3)为保证算法稳定性,尺度矩阵
必须为对称正定矩阵。
四、分析计算题
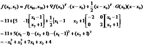
1.求解二元函数
在x0=[1,-1]T处的二阶泰勒展开式。
解:


二阶泰勒展开式为:
2.用黄金分割法求函数
在区间[0.2,1] 中的极小点和极小值,
迭代准则
,精度ε=0.4。
解:(1) a=0.2 b=1,首先插入两点a1 和a2



, 因为
, 所以消去
因此新的搜索区间为 [0.5056,1]
(2)此时a=0.5056 b=1



, 因为
, 所以消去
因此新的搜索区间为 [0.6944,1]
因为
,迭代终止 所以 :

五、作图题
1.以二维优化问题目标函数为例,用等值线表示约束最优解和无约束最优解的意义,并说明约束最优解的几种情况。
答:图a)无约束问题最优解,最优解位于目标函数等值线的中心。
图b)-e) 为无约束问题最优解的几种情况。其中,图b)最优解位于目标函数等值线的中心,约束不起作用;图c)和d)最优解位于某个约束的边界,有一个起作用的约束;图e)最优解位于两个或多个约束的边界的交点处,有两个或多个起作用的约束。

六、综合题
1.用一块薄钢板(忽略厚度)经裁剪、折弯后制造一体积为6立方米的无盖货箱, 高度不超过3米,要求耗费的钢材最少(包括裁下的废料),试建立该问题的优化数学模型。
解:设货箱长、宽、高分别为 x1,x2 ,x3 ,
目标函数为:
约束条件为:
;
;
所以该问题的优化数学模型为:
热门点击:
仅需10秒,快速查询适合您的拿证方式!